近日,电力电子领域国际著名学术期刊《IEEE Transactions on Power Electronics》发表了我校成人动漫
教授刘晓东团队关于分布式发电直流微电网集群稳定性的重要研究成果。成人动漫
副教授刘宿城为论文的通讯作者,研究工作依托安徽工业大学电力电子与运动控制安徽省重点实验室,得到国家自然科学基金、安徽高校自然科学研究项目资助。

(集群拓扑)

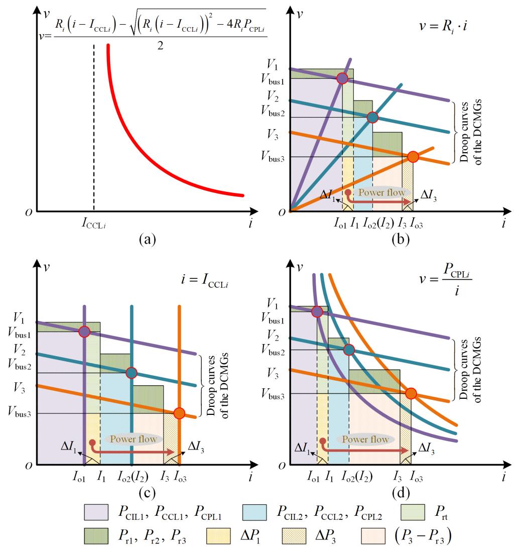
(稳态工作点)

(稳定区域估计)

(部分实验验证)
作为未来分布式新能源发电的核心网络形态之一,直流微电网及其集群兼具高效率、高电能质量、高可靠性以及低成本等优点,是实现绿色能源可持续发展的重要途径,近年来受到越来越多的关注。然而,直流微电网由光伏、风电、储能等各种异构单元组成,需要大量的电力电子接口协调运行,导致系统具备低惯性和高阻抗的弱电网特性;其集群网络的“弱-弱”互联会进一步降低系统阻尼,导致更加严重的稳定性问题。
该论文针对直流微电网集群系统大信号稳定性简化分析方法,基于T-S多模型化的在误差允许的范围内能显著降低计算量,有效预测出系统的大扰动稳定区域,并通过软件仿真与硬件实验结果验证了分析的正确性。该方法为复杂分布式电力网络的大扰动稳定性分析提供了通用的分析手段,也为后续实证系统的工程化综合与优化奠定了基础。
论文链接为://ieeexplore.ieee.org/document/9420331
(撰稿:刘宿城 审核:王兵 张苒 黄勇)